Dice Probability Calculator
Dice Probability Results
Exact Sum Probability
0.00%
Fraction: –
At Least Probability
0.00%
Favorable outcomes (≥): –
At Most Probability
0.00%
Favorable outcomes (≤): –
Favorable Outcomes (exact)
0
Total Possible Outcomes
0
Probability Range
–
Mean & Std Dev
–
Calculating probabilities for dice outcomes looks simple until you roll more than one die. Suddenly, the number of combinations explodes, making it time-consuming to do it manually.
Our Dice Probability Calculator makes this effortless by instantly computing the probability for:
- The sum of all dice equals an exact value.
- The sum of all dice is at least a value.
- The sum of all dice is at most a value.
What Is Dice Probability?
Dice probability refers to the likelihood of achieving a specific result when rolling one or more dice. The probability depends on:
- Number of sides on each die (s)
- Number of dice rolled (n)
- Target sum or condition (exact sum, at least, at most)
Dice Probability Formulae
To compute dice probability, we determine:
- How many combinations produce the target sum or meet the condition, and
- Divide that count by the total number of outcomes.
For n dice with s sides, the total number of outcomes is:
Total Outcomes = sn
For the below formulae:
n = No. of dice
s = No. of individual die faces
T = Target Sum
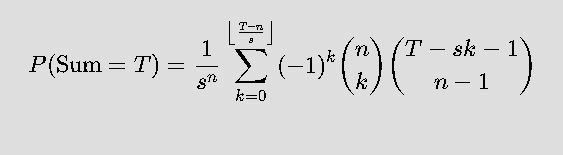
Probability That the Sum of All Dice Equals a Target Sum (Exact Sum)

Probability That the Sum of All Dice Is At Least a Target Sum
Where:
ns = maximum possible sum
Probability That the Sum of All Dice Is At Most a Target Sum
Where:
n = minimum possible sum
How to find Dice Probability using our Calculator?
- Select the type of dice, i.e., No. of sides in a die.
- Enter the number of dice and target sum.
- Click “Calculate” and the calculator automatically computes the desired results.







